Roko Feriencamp Mathematik
Startseite
Kurs 6-1
Kurs 6-1 Lösung
Kurs 6-2
Kurs 6-2 Lösung
Kurs 6-3
Kurs 6-3 Lösung
Kurs 6-4
Kurs 6-4 Lösung
Kurs 6-5
Kurs 6-5 Lösung
Kurs 6-6
Kurs 6-6 Lösung
Kurs 6-7
Kurs 6-7 Lösung
Kurs 6-8
Kurs 6-8 Lösung
Kurs 7-1
Kurs 7-1 Lösung
Kurs 7-2
Kurs 7-2 Lösung
Kurs 7-3
Kurs 7-3 Lösung
Kurs 7-4
Kurs 7-4 Lösung
Kurs 7-5
Kurs 7-5 Lösung
Kurs 7-6
Kurs 7-6 Lösung
Kurs 7-7
Kurs 7-7 Lösung
Kurs 7-8
Kurs 7-8 Lösung
Kurs 8-1
Kurs 8-1 Lösung
Kurs 8-2
Kurs 8-2 Lösung
Kurs 8-3
Kurs 8-3 Lösung
Kurs 8-4
Kurs 8-4 Lösung
Kurs 8-5
Kurs 8-5 Lösung
Kurs 8-6
Kurs 8-6 Lösung
Kurs 8-7
Kurs 8-7 Lösung
Kurs 8-8
Kurs 8-8 Lösung
Kurs 9-1
Kurs 9-1 Lösung
Kurs 9-2
Kurs 9-2 Lösung
Kurs 9-3
Kurs 9-3 Lösung
Kurs 9-4
Kurs 9-4 Lösung
Kurs 9-5
Kurs 9-5 Lösung
Kurs 9-6
Kurs 9-6 Lösung
Kurs 9-7
Kurs 9-7 Lösung
Kurs 9-8
Kurs 9-8 Lösung
Kurs 10-1
Kurs 10-1 Lösung
Kurs 10-2
Kurs 10-2 Lösung
Kurs 10-3
Kurs 10-3 Lösung
Kurs 10-4
Kurs 10-4 Lösung
Kurs 10-5
Kurs 10-5 Lösung
Kurs 10-6
Kurs 10-6 Lösung
Kurs 10-7
Kurs 10-7 Lösung
Kurs 10-8
Kurs 10-8 Lösung
Info
Datenschutz
Impressum
Kontakt
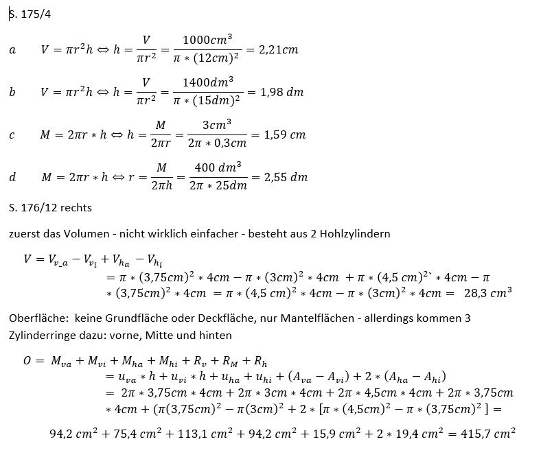
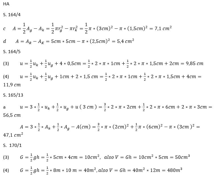
8-8 Lösung