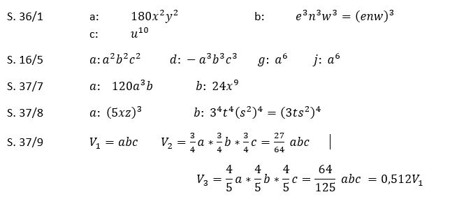
Gleichwertige Terme, Termumformungen, Faktorisieren